国际世界语博物馆
,国际世界语博物馆
Esperanta Versio
登录
网站首页
组织机构
世界语博物馆管委会
世界语博物馆学生志愿者小组
第二届学术委员会委员名单(2026)
世界语博物馆简介
世界语博物馆内设机构和人员名单
世界语博物馆捐赠人名单
馆长、副馆长任命通知
第二届理事会人员名单(2026)
第二届监事会人员名单
管理规定
藏品使用规定
世界语博物馆章程
参观管理规定
安全保卫工作规程
藏品接收流程及登记制度
藏品使用规定
世界语博物馆开放管理制度
世界语博物馆参观游览参观安全管理办法
世界语博物馆学术委员会章程
世界语博物馆学术委员会工作规程
世界语博物馆藏品库房管理制度
世界语博物馆理事会章程
关于印发《枣庄学院国际世界语博物馆中长期发展规划纲要(2021-2025)》的通知
中长期发展规划纲要(2021-2025)
接受社会捐赠管理办法
藏品入藏标准及流程
新闻动态
工作动态
国内新闻
国际信息
海外飞鸿
藏品管理
藏品录入
收藏日志
藏品档案
藏品数据
藏品交流
藏品交换
史海钩沉
藏品评鉴
藏品研究
藏品展示
藏品展示
藏品查询
服务中心
线上展览
访问函下载
文创收藏
下载专区
藏品目录
影像资料
世运档案
世运博文
文创习作
最新藏品展示
山西世协“不忘初心 牢记使命”教育论坛申报卡
刘海军山西省世界语协会任职备案表
单娜山西省世界语协会任职备案表
宋彩霞山西省世界语协会任职备案表
李杰燕山西省世界语协会任职备案表
山西省世界语协会委托山西世界语学院为其培养世界语专职干部…
山西世界语学院办学许可证(复印)
山西省教育委员会关于同意成立山西世界语学院等四所学校的批…
关于兴建世界语文化事业基地项目与延安地区强强合作的报告
第七十一届国际世界语大会山西省代表团名单(复印)
藏品展示
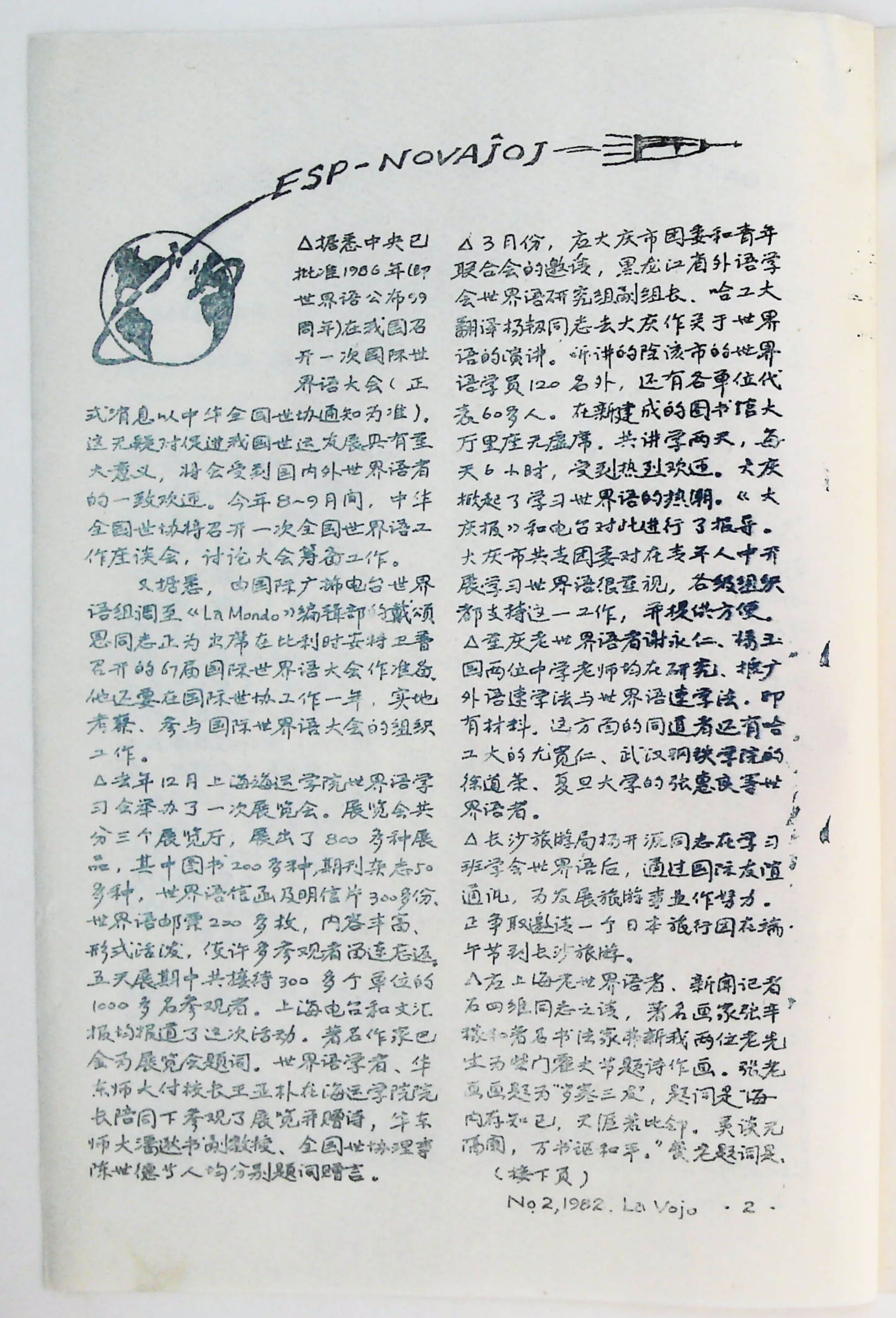
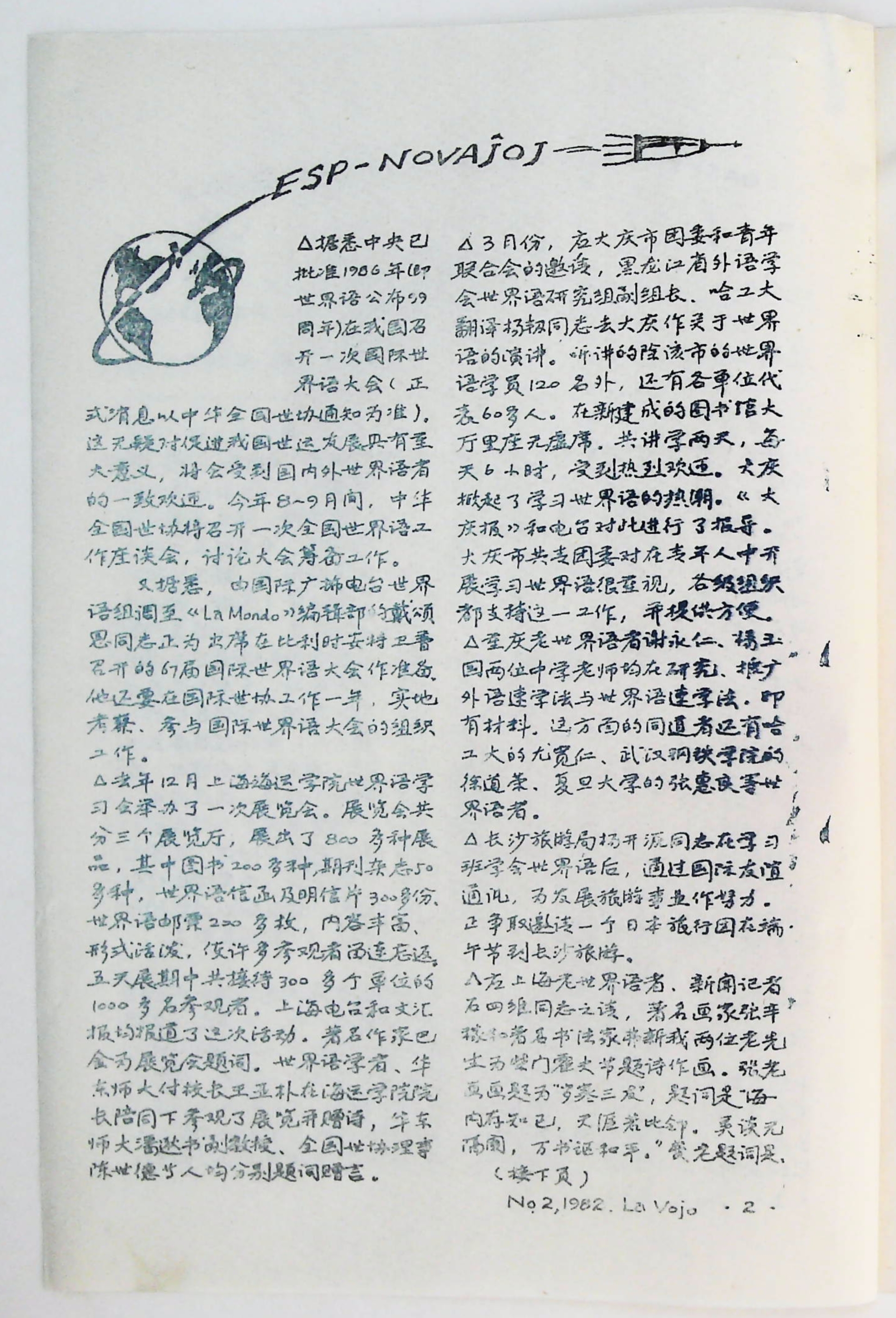
1982年5月《La vojo》第13期
藏品编号:0400321020467
藏品来源:移交
入藏时间:2012
捐赠人:侯志平
移交人:-
藏品年份:1982
藏品质地:纸类
完好程度:完好
藏品级别:馆藏藏品
藏品规格:19*26.4
藏品数量:1
浏览:92次
@2014-2026 国际世界语博物馆版权所有 地址:中国山东省枣庄市中区枣庄学院 电话:86-632-3786905 电子邮箱:uzzesperanto@outlook.com 网站维护:世界语博物馆 鲁ICP备14029563号 网站共浏览 7126225 次